服务热线:028-85136818
欢迎访问优米app下载安装手机版官方网站!
首页
组织机构
机构设置
促进会章程
促进会负责人
促进会理事
管理制度
优米app8.0
协会要闻
通知公告
行业动态
政策法规
技术交流
党建工作
党支部
党建动态
团体标准
标准发布
优米官网app
优米娱乐平台
会长单位
优米娱乐
优米体育中心官网下载app
加入我们
入会申请
入会流程
协会章程
会员服务
联系我们
关于我们
联系方式
下载中心
首页
>>
优米app8.0
>>
通知公告
优米app8.0
协会要闻
通知公告
行业动态
政策法规
技术交流
通知公告
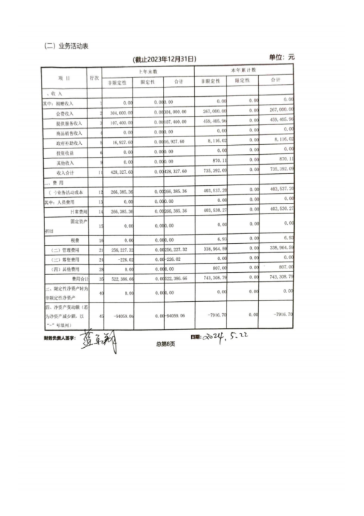
2023年度年检报告书
发布时间:2024-07-01 13:55:34
各会员单位,我会
2023年度年检时间为2024年5月22日,年检结论为合格。年检报告书公布如下:
上一篇
公告(二)
优米app下载安装手机版 行业职业道德准则
下一篇
nba米直播吧